Web Analytics Made Easy - Statcounter
helena mt take out dinner Fried fish dinner clipart

helena mt take out dinner Fried fish dinner clipart

July take out meal

If you are looking for Facebook you've visit to the right page. We have 35 Pics about Facebook like ⭐️ HUMP 🐪 DAY ⭐️ 🍽 Family Take... - Sussex Amvets Post 2, Jan 4: Spaghetti and Meatballs Take Out Dinner | Farmhouse Catering and also Valentine Date Night Take Home Dinner for 2! | simpatico. Here you go:

Facebook

Facebook www.facebook.com

Spaghetti Dinner Clipart

Spaghetti Dinner Clipart ar.inspiredpencil.com

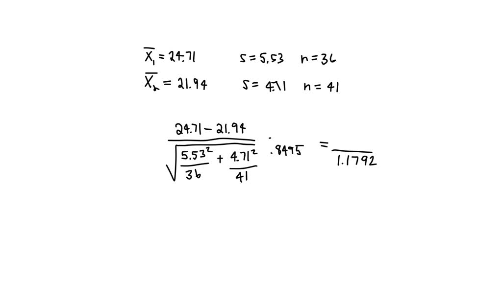
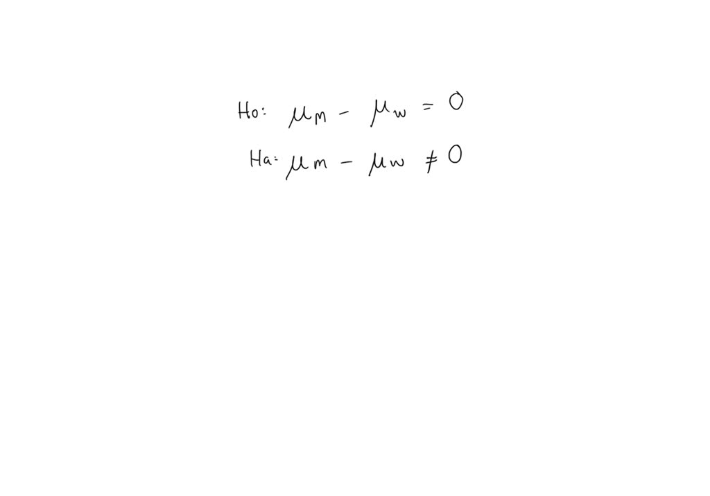
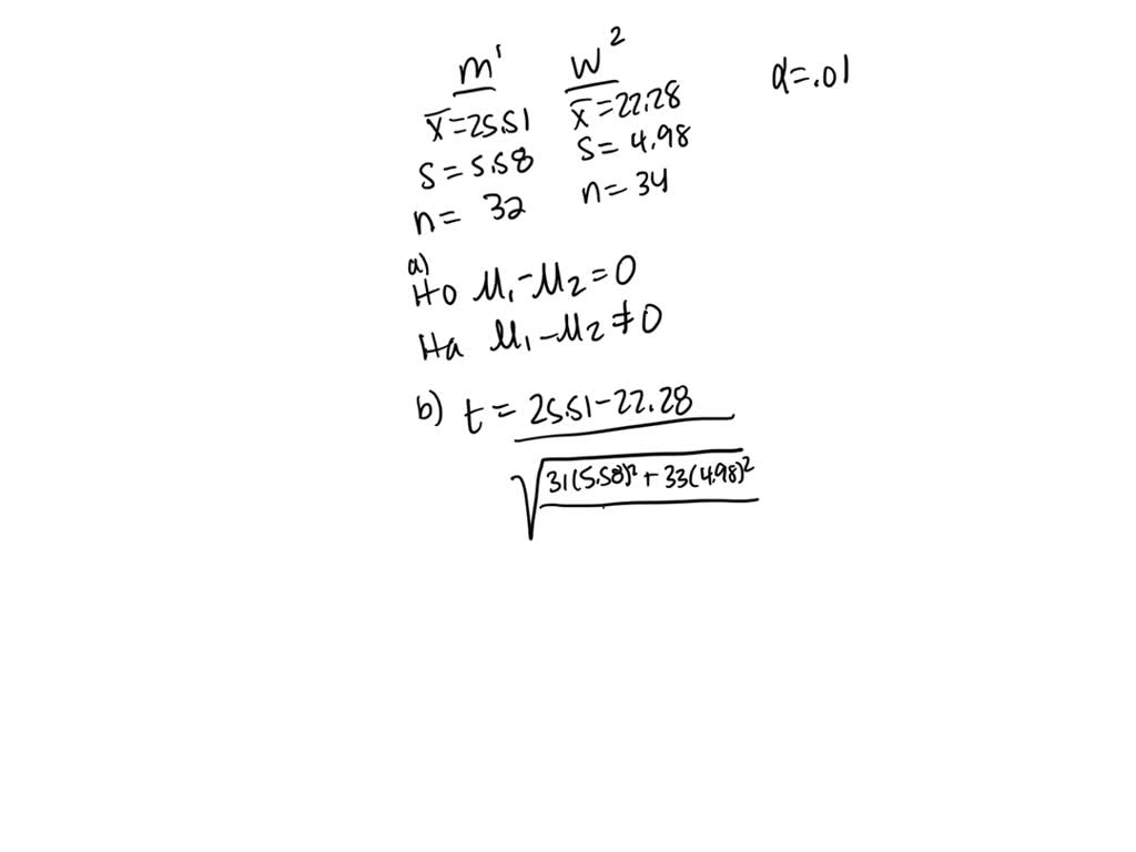
SOLVED: A Recent Study Focused On The Number Of Times Men And Women Who

SOLVED: A recent study focused on the number of times men and women who www.numerade.com

Facebook

Facebook www.facebook.com

Spaghetti And Meatballs Take Out Dinner | Farmhouse Catering

Spaghetti and Meatballs Take Out Dinner | Farmhouse Catering www.farmhousecatering.ca

The Amazing Eruption Of Mt. St. Helens – 40 Years Ago Today | WOODTV.com

The Amazing Eruption of Mt. St. Helens – 40 Years Ago Today | WOODTV.com www.woodtv.com

helens eruption mt 1980 volcano woodtv horrific accumulating

SOLVED: A Recent Study Focused On The Number Of Times Men And Women Who

SOLVED: A recent study focused on the number of times men and women who www.numerade.com

SOLVED: A Recent Study Focused On The Number Of Times Men And Women Who

SOLVED: A recent study focused on the number of times men and women who www.numerade.com

HOURS OF OPERATION – NeXT

HOURS OF OPERATION – NeXT nextfood.ca

Spaghetti Dinner | Elk County Catholic School System

Spaghetti Dinner | Elk County Catholic School System eccss.org

July Take Out Meal - KenTon Meals On Wheels

July Take Out Meal - KenTon Meals on Wheels kentonmealsonwheels.org

Easter Take Home Meal For 2 | Simpatico

Easter Take Home Meal for 2 | simpatico www.simpaticostmichaels.com

Huntsville Suzuki Indian Takeout Dinner - Huntsville Doppler

Huntsville Suzuki Indian Takeout Dinner - Huntsville Doppler doppleronline.ca

Dia Bom

Dia Bom cashdrop.com

OPA! Gyro Take Out Event - September 27th - The OPA! Festival

OPA! Gyro Take Out Event - September 27th - The OPA! Festival epgreekfest.com

Take Out Dinner ? #laugh #funnyjokes #humor #funny #shorts - YouTube

Take Out Dinner ? #laugh #funnyjokes #humor #funny #shorts - YouTube www.youtube.com

Solved A Recent Study Focused On The Number Of Times Men And | Chegg.com

Solved A recent study focused on the number of times men and | Chegg.com www.chegg.com

Fried Fish Dinner Clipart

Fried Fish Dinner Clipart ar.inspiredpencil.com

Le French Cafe - Good Morning !!! TAKE OUT DINNER MENU...

Le French Cafe - Good Morning !!! TAKE OUT DINNER MENU... www.facebook.com

Solved A Recent Study Focused On The Number Of Times Men And | Chegg.com

Solved A recent study focused on the number of times men and | Chegg.com www.chegg.com

⭐️ HUMP 🐪 DAY ⭐️ 🍽 Family Take... - Sussex Amvets Post 2

⭐️ HUMP 🐪 DAY ⭐️ 🍽 Family Take... - Sussex Amvets Post 2 www.facebook.com

Verbs - Ali Selim

Verbs - Ali Selim aliselim.com

Pork & Sauerkraut Take Out Dinner, Faith Alive Church, Palmerton, 1

Pork & Sauerkraut Take Out Dinner, Faith Alive Church, Palmerton, 1 allevents.in

Facebook

Facebook www.facebook.com

GIVE DAD A HALL OF FAME EXPERIENCE WITH EMMITT'S VEGAS FATHER'S DAY

GIVE DAD A HALL OF FAME EXPERIENCE WITH EMMITT'S VEGAS FATHER'S DAY www.vegas24seven.com

Jan 4: Spaghetti And Meatballs Take Out Dinner | Farmhouse Catering

Jan 4: Spaghetti and Meatballs Take Out Dinner | Farmhouse Catering www.farmhousecatering.ca

Visit — Bread & Friends Maine

Visit — Bread & Friends Maine breadandfriendsmaine.com

Solved A Recent Study Focused On The Number Of Times Men And | Chegg.com

Solved A recent study focused on the number of times men and | Chegg.com www.chegg.com

Valentine Date Night Take Home Dinner For 2! | Simpatico

Valentine Date Night Take Home Dinner for 2! | simpatico www.simpaticostmichaels.com

Facebook

Facebook www.facebook.com

Le French Cafe - Good Morning !!! TAKE OUT DINNER MENU...

Le French Cafe - Good Morning !!! TAKE OUT DINNER MENU... www.facebook.com

Dia Bom

Dia Bom cashdrop.com

7th Annual “Got No Place To Go Thanksgiving Dinner” In Bar Harbor

7th Annual “Got No Place to Go Thanksgiving Dinner” in Bar Harbor wdea.am

thanksgiving dinner

Take Out Menu - Faithlife Sermons

Take Out Menu - Faithlife Sermons sermons.faithlife.com

SOLVED: A Recent Study Focused On The Number Of Times Men And Women Who

SOLVED: A recent study focused on the number of times men and women who www.numerade.com

⭐️ hump 🐪 day ⭐️ 🍽 family take.... Solved: a recent study focused on the number of times men and women who. Valentine date night take home dinner for 2!